














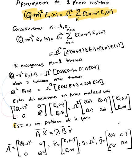
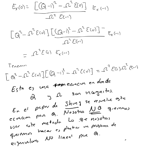
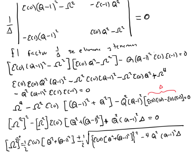
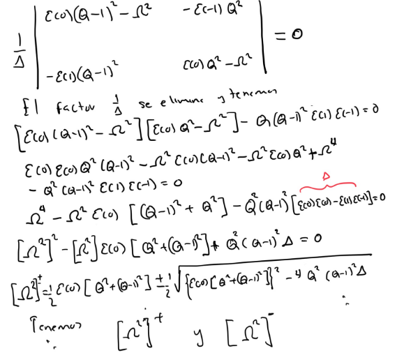
ojo, es importante notar que nuestras ecuaciones y las del paper de Shung son equivalentes




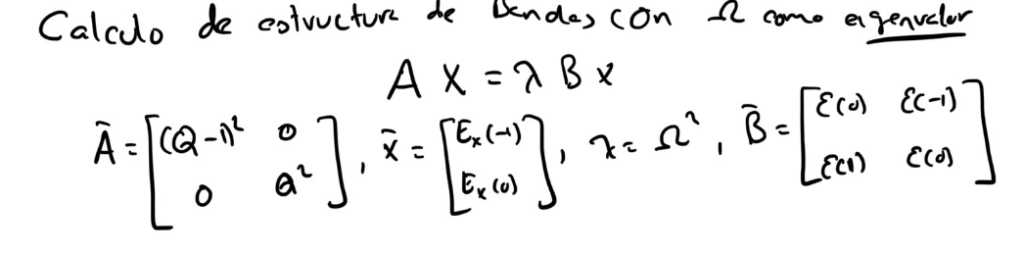
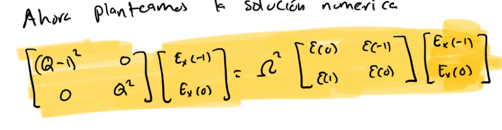
Es necesario entender como se obtiene los eigenvalores y eigenvectores para una matrix. Vamos a realizar el analisis siguiendo la informacion que viene en la pagina
https://lpsa.swarthmore.edu/MtrxVibe/EigMat/MatrixEigen.html




