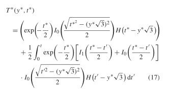
medio semi – infinito